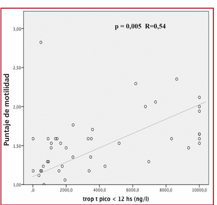
Troponina de alta sensibilidad para predicción del tamaño del infarto agudo de miocardio con elevación del segmento ST
pp. 161-163
Descargas
Publicado
02-09-2025
Número
Sección
CARTAS CIENTÍFICAS
Licencia
Derechos de autor 2016 Revista Argentina de Cardiología

Esta obra está bajo una licencia internacional Creative Commons Atribución-NoComercial-CompartirIgual 4.0.








